Contoh Soal Limit Fungsi Trigonometri Bentuk Tak Tentu. Konsep limit ketika x mendekati tidak terhingga Bentuk limit ∞/∞ berlangsung pada fungsi suku banyak (polinom) seperti berikut ini: Contoh Soal Limit trigonometri ialah nilai terdekat pada suatu sudut fungsi trigonometri. Semakin banyak belajar soal-soal, kamu akan terbiasa dengan rumus trigonometri untuk menyelesaikan persoalan limit trigonometri.
Sama halnya dengan limit fungsi aljabar, penyelesaian limit fungsi trigonometri paling umum dilakukan dengan substitusi terlebih dahulu.
Materi Lengkap Limit, Fungsi Aljabar, Beserta Limit Menuju Tak Hingga.
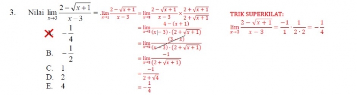
Jika dengan cara substitusi langsung pada diperoleh bentuk (bentuk tak tentu), lakukan pemfaktoran terlebih dahulu terhadap f (x) dan g(x). Soal nilai limit fungsi trigonometri ditandai dengan soal yang melibatkan fungsi trigonometri. Catatan : Ambil koefisien pangkat tertingginya.








